Condensed matter nuclear science (CMNS) is the study of nuclear reactions in condensed matter – typically within the lattice of a highly hydrided metal like palladium. The history of CMNS is long, stretching back over 90 years to the very first fusion experiments conducted using linear accelerators. The field can be divided into several subfields.
In the first, a hydrided lattice is exposed to an accelerator or beam, adding energy to the system and driving a fusion or fission reaction in the lattice.
In the second, the unique environment of the lattice is sufficient to precipitate a low energy nuclear reaction (LENR). LENR first received impetus and attention following the announcement of observations of substantial net energy gains in desktop metal hydride systems in 1989. In this context, “low energy” means low energy input. The term does not mean low energy output. Hundreds of millions of degrees in temperature and large magnetic confinement fields are not needed.
Since the field of low energy nuclear reactions was founded, it has been referred to by a variety of names. Some of the most common include:
LENR (Low Energy Nuclear Reactions)
SSF (Solid-state Fusion)
CMNS (Condensed Matter Nuclear Science)
CANR (Chemically Assisted Nuclear Reactions)
LANR (Lattice Assisted Nuclear Reactions)
AHE (Anomalous Heat Effect)
FPHE (Fleischmann Pons Heat Effect)
NHE (New Hydrogen Energy)
Cold Fusion
Though the historical nomenclature is overlapping and somewhat convoluted, in our view, the terms Condensed Matter Nuclear Science and Solid-state Fusion are umbrella terms that encompass both subfields:
- the use of accelerators and beams to drive nuclear reactions in hydrided metal targets
- the post 1989 observations of net energy gains in LENR experiments
The latter field of enquiry has been the primary focus of our community and is what has historically been referred to by nomenclature like the above. However, the recent emergence of a new generation of accelerator and beam experiments (detailed below) calls for a slightly more expansive and refined taxonomy, which we offer here.
Condensed Matter Nuclear Science
Solid-state Fusion
Accelerators & Beams
Traditional Accelerator Experiments
Pyroelectric Crystal Fusion
Lattice Confinement Fusion
Hybrid LCF / Fission
Low Energy Nuclear Reactions
also sometimes referred to as:
CANR (Chemically Assisted Nuclear Reactions)
LANR (Lattice Assisted Nuclear Reactions)
AHE (Anomalous Heat Effect)
FPHE (Fleischmann Pons Heat Effect)
NHE (New Hydrogen Energy)
Cold Fusion
Low Energy Accelerator and Beam Experiments
Traditional Accelerator Experiments
The use of accelerators for creating low energy fusion reactions began over 90 years ago and continues to this day. The first of these experiments were conceived and developed by Ernest Rutherford in the early 1930s. This was the first demonstration of nuclear fusion and led directly to the discovery of helium-3 and tritium.
Rutherford achieved this discovery by fusing two nuclides of deuterium. In his experiments, a metal target was preloaded with deuterium. Then, a linear particle accelerator bombarded these metal targets with energetic ions of deuterium. By imparting enough kinetic energy to the ions, they could overcome their natural repulsive tendency and fuse. In these experiments, three different fusion reactions can take place. Two with approximately equal probability and a third with a vanishingly small probability.
- deuterium + deuterium -> helium-3 + neutron (50%)
- deuterium + deuterium -> tritium + proton (50%)
- deuterium + deuterium -> helium-4 + gamma ray (~0%)
While these accelerator experiments do indeed produce fusion reactions, the linear particle accelerators used are extremely energy inefficient. Consequently, there is no net energy gain from input to output, and thus, no useful surplus energy. However, these types of accelerator experiments are still extremely valuable for basic science and are used to the present to probe the interactions between atoms. Particle accelerators are used to probe the screening energies of target materials and the various reaction products emanating from different combinations of fusing nuclides. In addition, these reactions are used to create neutron generators. These utilise the D+D fusion reaction in a metal target to create a beam of neutrons that can be focussed and utilised in many fields of science.
Pyroelectric Crystal Fusion
In 2005, a group of researchers at UCLA led by Dr. Seth Putterman reported that they had observed the generation of fusion neutrons at over 400 times background from a desktop experimental reactor. Their reactor contained a pyroelectric crystal of lithium tantalate in a deuterated atmosphere. The group reported that when the crystal was gently heated, a strong electrostatic field was produced. The group reported that this field could be focused into a beam and used to accelerate deuterons into a deuterated target inside their reactor.

Lattice Confinement Fusion
More recently, NASA has been using accelerators and beams to probe what they have dubbed ‘lattice confinement fusion.’ These experiments are not dissimilar to those described above. However, NASA has developed a new technique wherein a deuterated lattice is exposed to a beam of gamma rays. The gamma ray beam causes the photodissociation of deuterons in the lattice, creating energetic neutrons. These energetic neutrons in turn collide with other ‘cold’ deuterons in the lattice, imparting their kinetic energy and accelerating a deuteron into another deuteron with enough kinetic energy to cause either a screened fusion reaction or a screened Oppenheimer-Phillips stripping reaction. This work continues, with the goal of scaling the experimental systems and creating a useful power source for NASA deep space missions.

Hybrid LCF/Fission in a Deuterated Target
The Center for Emerging Energy Science (CEES) at Texas Tech University, led by Prof. Rob Duncan, has extended NASA’s lattice confinement fusion concept, and has proposed a new light element hybrid fusion/fission fuel cycle in deuterated lithium. The cycle they propose begins with a primary reaction followed by two secondary reactions.
- Fission of lithium-6 by a neutron producing helium-4 and tritium
- Secondary fusion of deuterium and tritium producing neutrons and helium-4
- Secondary fission of lithium-7 by tritium producing neutrons and helium-4
Importantly, all the products of these primary and secondary reactions are stable, meaning no nuclear waste is created (providing that all produced tritons are consumed in secondary reactions). This fuel cycle is almost twice as efficient in converting mass into energy as conventional 235U fission reactors. In addition, run in a sub-critical configuration, this fuel cycle cannot run away.
CEES write:
This proposed cycle is an example of a new class of nuclear fusion reactions that utilizes particle collisions within the solid-state lattice to induce fusion reactions within the lattice. The emergence of this new type of lattice-confined fusion reaction promises to eliminate the need for the expensive and massive equipment that is currently required to support magnetic or inertial confinement fusion. The neutron collision-induced fusion also moderates the neutron energy for use in subsequent fission reactions, effectively harvesting the neutron energy that would otherwise be lost to thermal energy through more conventional moderation. This will result in a practical, solid-state approach to fusion power, which is essential to its ultimate large-scale utilization.

The proposed new light-element, fission – fusion hybrid fuel cycle. The triton (3H) has ~70 μm range of travel in LiD, resulting in a the nearly complete consumption of the tritium that is produced in the primary [6Li(n,t)4He] fission cycle in the two secondary reactions, specifically the fission reaction [7Li(t,2n+α)4He] and the secondary fusion reaction [D(t,n)4He].
The neutrons produced in the secondary reactions are energetic, especially the 14.1 MeV neutron from the D-T fusion, and they will produce collisional accelerations of the deuterium fuel and hence higher-order reactions. In this analysis, only the energetics from this primary and these two immediate secondary reactions are quantified, but the overall release of energy from this cycle will be higher. Source
Low Energy Nuclear Reactions
Though involving the same materials – a metal like palladium and a fuel like deuterium – low energy nuclear reactions are a distinct field of their own. The key difference is that no accelerator or beam is used in LENR experiments. No kinetic energy is added to the system from an external source. Instead, in the ideal embodiment, the conditions of the highly hydrided lattice are adequate to precipitate and sustain a nuclear reaction. This second type of experimental system is the primary one that our community of scientists have been investigating for the last 35 years.
These experimental systems come in many forms. The most researched include:
- Electrolysis of heavy water with a palladium cathode
- Gas loading of palladium using deuterium
- Plasma loading of palladium using deuterium
- Electrochemical co-deposition of palladium with deuterium
Many other experimental systems, techniques and materials have been used. These include titanium, nickel, and constantan in place of palladium and protium in place of deuterium. In addition, techniques like electro-diffusion and cavitation have been explored. Many triggering techniques have been used to probe LENR reactions. Some of these include rapid temperature change, laser stimulation, and the application of magnetic fields.
Scientists have documented that a handful of extremely difficult to achieve experimental conditions are critical for the successful observation of anomalous phenomena in LENR systems. These include:
- a host lattice highly loaded with a hydrogen isotope to a stoichiometric ratio of approximately ≥ 0.9
- careful consideration of the materials science of cathode fabrication
- long experimental incubation times (in electrochemical experiments)
- high current density (in electrochemical experiments)
- a flux of fuel in the lattice
The primary experimental signature of LENR is excess heat power that cannot be accounted for by chemical processes. Observations of excess heat have typically ranged from milliwatts to tens of watts of excess power, and tens of watts to hundreds of watts of excess power per cm3 of cathode volume. Many research groups have observed this excess heat effect.
Researchers have also observed the generation of helium-4 in their experiments. A correlation has been observed between helium-4 and heat, with the former dependent on the observation of the latter. The generation of helium-4 has been observed as temporally and quantitatively correlated with the proposed reaction:
- deuterium + deuterium -> helium-4 + 23.8 MeV lattice heat
In comparison to excess heat, fewer high-quality measurements of helium-4 exist, and this remains an understudied area.
In addition to helium-4, very small amounts of other reaction products have been observed in LENR experiments. By ‘very small,’ we mean that these observations are orders of magnitude below those that would normally be expected for a given quantum of excess heat energy.
Unlike plasma-based fusion, and the aforementioned accelerator experiments, the solid-state conditions of the host material have been observed to initiate and sustain these low energy nuclear reactions. Such solid-state lattices can be made to absorb an abundance of deuterium or hydrogen, with a density that is orders of magnitude greater than in a hot fusion plasma. This high density of fuel is attained at much lower temperatures than in hot fusion.
The solid-state lattice offers unique enhancements not realizable in a plasma-based reactor. These enhancements are a fundamental feature of the host lattice, and they work together to increase the probability of a nuclear reaction. Thus, the lattice itself allows these reactions to occur in a controlled and continuous manner. The most intriguing and useful outcome of these experiments is that nuclear fusion can be achieved on a laboratory bench, without requiring expensive equipment or large facilities.

Explaining Low Energy Nuclear Reactions
LENR is a complex combination of nuclear and condensed matter physics, chemistry, quantum mechanics, materials science, metallurgy, and electromagnetics. Given this complexity, a unified theoretical explanation of LENR is still being developed. Nonetheless, there is much already understood about how the lattice enhances fusion reaction rates. This understanding is uncontroversial and does not extend itself into speculative or heterodox explanation. Established science is clear that what we might otherwise expect based on our knowledge of plasma fusion is incomplete for the case of the solid-state environment.
The core experimental claims made by LENR scientists, and that theory is obliged to account for, are:
- that the Coulomb barrier is overcome at ambient temperature
- that the branching ratio of the fusion reaction is substantially modified towards the generation of helium-4 rather than neutrons or tritium
- that the otherwise expected gamma ray is converted to heat energy in the lattice
To observe nuclear fusion reactions at ambient temperatures, an enhancement of reaction rates of the order of 40 times is required. Some theorists have proposed that an ensemble of noncontroversial mechanisms, working in concert, may be able to bridge this gap.
Electron Screening
The most important difference between the solid state and that of plasma fusion is that the lattice is an electron rich environment. Electrons exist in both the shells surrounding lattice nuclei, and in the conduction band of the host lattice. This creates an environment of significant negative charge that helps screen the Coulomb barrier that exists between ions in the lattice.
In addition to a ‘uniform’ screening potential, local changes in the structure of the lattice – vacancies, impurities or defects – can create a further ‘local’ enhancement of the screening potential where the electron density may be greater than elsewhere in the lattice. From a fusion rate of 10-64 in deuterium gas, some theorists suggest that a screened deuterium molecule in a lattice vacancy has a much more amenable fusion rate of 10-32.
Whilst electron screening alone isn’t sufficient to account for observations of excess heat energy in these systems, the suggestion of electron screening working in concert with other rate enhancement mechanisms available in the lattice is plausible.
Phonons and Flux
The lattice is a dynamic system that can absorb and propagate perturbations. In particular, a flux of deuterium moving through the lattice can create acoustical and optical phonons – vibrations of the lattice nuclei – that can interact with deuterons and impart additional energy to them. Experiments have shown that laser stimulation of cathodes at beat frequencies corresponding to such optical phonon modes can initiate low energy nuclear reactions in deuterated materials. This work suggests that the flux of fuel in the lattice, and the phonons created by it, may play a crucial role in fusion reactions in the solid state.


Quantum Effects & Superconductivity
Theorists suggest that mechanisms identified from quantum dynamics such as resonance energy transfer and Dicke enhancement might play a role in the solid state.
Metzler et al. write:
Two classes of phenomena are at the heart of accelerated state transitions: the first one is resonance energy transfer (RET) [102, 103], a mechanism in which excitation energy is transferred nonradiatively from one system to another resonant or near-resonant system that is coupled. This means that the transfer of energy is achieved not through the radiative emission of a particle carrying the excitation energy, but through the coupling of both systems to a common field. The electromagnetic field is an example of such a field. At the atomic level, this mechanism is widely known and exploited in biology and chemistry (FRET experiments) [104]. Nonradiative energy transfer is conventionally believed to play a much less prominent role at the nuclear level because of the weakness of couplings that affect nuclear energetic states, compared to their much larger state transition energies. However, these weak couplings can be increased under particular circumstances (see box 1). Nonradiative transfer of nuclear energy has been theoretically described and experimentally emulated with precisely engineered resonant cavities [100, 105–109].
The second mechanism to accelerate deexcitation is superradiance, also known by the more general term Dicke enhancement [110]. This is a phenomenon that can occur when N excited emitters are coupled together, which then deexcite at a rate that depends on N (and is in some configurations proportional to N2). For large N, this can be substantially faster than the typical exponential decay from spontaneous emission [98, 99]. In recent experiments, multiple 57Fe nuclei were collectively excited by an x-ray free-electron laser [96]. The affected nuclei comprised a quantum system in superposition that was able to absorb and emit nuclear excitation collectively. An acceleration proportional to the number of excited nuclei has been experimentally observed for the deexcitation of the first excited state of 57Fe nuclei [96], following the dynamics predicted for atoms by Dicke in 1954 [110] and for nuclei by Terhune and Baldwin in 1965 [111]. These studies empirically demonstrate that nuclear decay can be manipulated and accelerated through quantum coherent effects in the solid state.
In addition, at high levels of loading, certain deuterides can become superconductive. When this happens, the work function of the electrons is decreased, the magnetic susceptibility of the host lattice changes, and the electronic heat capacity of the material decreases. When these effects occur, the detrimental energy loss of electron/ion collision is mitigated, allowing for an increased reaction rate within the lattice.
A group from the US Navy’s Space and Naval Warfare Systems Center, in a report prepared for the United States’ Defence Threat Reduction Agency, write:
Besides LENR, the Pd/H(D) system exhibits superconductivity. Palladium itself does not superconduct. However, it was found that H(D)/Pd does and that the critical temperatures of the deuteride are about 2.5 K higher than those of hydride (at the same atomic ratios). This is the ‘inverse’ isotope effect. In these early measurements, the loading of H(D) in the Pd lattice was less than unity, i.e. H(D):Pd < 1. Later Tripodi et al. developed a method of loading and stabilizing 50 µm diameter Pd wires with H(D):Pd loadings greater than one. These samples have exhibited near room temperature superconductivity. Examples of measured superconducting transitions of PdHx samples are shown in Figure 1-2. We believe the two phenomena, LENR and high Tc superconductivity, are related and that both need to be investigated in order to gain an understanding of the processes occurring inside the Pd lattice. Source
Low Energy Intranuclear Resonance
Researchers have theorised that for the fusion of two deuterium atoms, there is a previously unidentified resonance in the 4He compound nucleus at low energies that further enhances reaction rates and substantially modifies the branching ratio and reaction products. This theorised branching ratio substantially favours the helium-4 channel. In addition, instead of the expected gamma ray, an electron-positron pair is emitted.
- deuterium + deuterium -> helium-4 + electron-positron pair
Experimental measurements that support this theory were recently published in Physical Review C and Physical Review X.
Dubey et al. write:
The discovery of a new, e+e− reaction channel in deuteron-deuteron (DD) fusion at very low energies might have major implications for understanding primordial and stellar nucleosynthesis, where electron-positron reaction channels are typically not considered. It could also enable research on metal hydride fusion, potentially paving the way for the design and construction of next-generation fusion energy sources. Following the first experimental indications of electron emission, we present here an extensive experimental study confirming emission of high-energy electrons from DD reaction at very low energy. A simultaneous use of Si charged particle detectors of different thicknesses and large-volume NaI(Tl) and HPGe detectors has allowed the determination of the branching ratios between emitted protons, neutrons, and e+e− pairs for deuteron energies down to 5 keV. The high-energy positrons could be unambiguously detected by their bremsstrahlung spectra and annihilation radiation, supported by the Geant4 Monte Carlo simulations. The theoretical calculations, based on a destructive interference between the threshold resonance and the known broad resonance in 4He, agree very well with experimentally observed increase of branching ratios for lowering projectile energies. The partial width of the threshold resonance for the internal e+e− pair creation should be at least 10 times larger than that of the proton channel. Source
Models for Nuclear Fusion in the Solid State
In February 2025, Prof. Peter Hagelstein of the Massachusetts Institute of Technology and his co-authors Dr. Florian Metzler, Jonah Messinger, Dr. Matt Lilley, and Dr. Nicola Galvanetto published “Models for nuclear fusion in the solid state,” a 234 page document outlining their group’s latest theoretical contribution to the science of condensed matter nuclear science. The group writes:
This article presents a theoretical framework for enhancing nuclear fusion rates in solid-state environments under near-ambient conditions. Drawing on quantum tunneling, electron screening, and resonance energy transfer, the study proposes rate enhancements of more than 40 orders of magnitude for deuterium-deuterium (D-D) fusion in palladium lattices. A generalized nuclear Dicke model describes a fusion-fission process as a result of energy transfer between D-D and palladium mediated by lattice vibrations. Practical challenges such as decoherence, destructive interference, receiver decay, and achieving resonance between donor and receiver systems are addressed. Experimental strategies to validate the model are proposed along with its implications for the advancement of solid-state fusion as a potential pathway to sustainable energy technologies. Source
An Emerging Picture
In past decades, theoretical objections have motivated some observers towards scepticism of LENR. However, new understanding and observations are emerging that help us better understand how these reactions might occur in the solid state. This work helps us better theoretically ground the three decades of experimental observations that already exist and are strongly suggestive of their reality.
Taken together, this brief review helps us imagine how the dynamic environment of the lattice might substantially change fusion reaction rates. Though comprehensive theory is still emerging, it is already evident that the solid-state environment has the potential to substantially enhance nuclear fusion reaction rates. The evidence is clear that what we might otherwise expect based on our knowledge of plasma fusion is incomplete for the case of the solid state environment.
Low Energy Nuclear Reaction Experiments
Low energy nuclear reactions have been studied by many prominent laboratories for over 35 years. These laboratories have found clear evidence of excess heat and other nuclear products in their experiments.
SRI International
In 1989, Dr. Michael McKubre, then Director of the Energy Research Center and Principal Staff Scientist in the Material Research Laboratory at SRI International, began a program of study to investigate LENR. From 1989 to 2018, McKubre’s group reported a number of positive LENR results and published work that further elaborated the necessary conditions for observing LENR effects in the palladium-deuterium system.
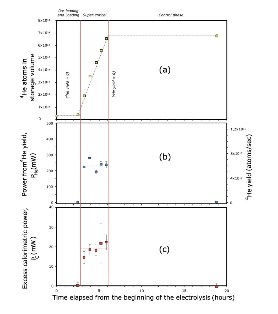
The SRI group’s results included observations of excess heat energy, cathode autoradiography suggestive of nuclear emissions, a correlation between observed excess heat and current density, and a correlation between observed excess heat and deuterium loading. In addition, the group stressed the importance of deuterium flux in the cathode lattice and derived an excess power fitting function that accurately modelled excess heat using the measured flux of deuterium, cathode loading and current density.
The group also reported on observations of a clear correlation between excess energy production and helium-4 generation. In one experimental campaign that replicated work by Prof. Yoshiaki Arata, the group observed a gradient of helium-3 through the wall of their ‘double structured’ cathode. This observation was indicative of the generation of tritium in the interior of the cathode and its subsequent permeation outwards through the wall of the electrode.






US Navy Space and Naval Warfare Systems Center
Dr. Stanislaw Szpak, an electrochemist at the US Navy’s Space and Naval Warfare Systems Center (SPAWAR) in California, and his colleagues were some of the first to learn of the 1989 announcement of the discovery of low energy nuclear reactions. Not wanting to deal with the difficulties of bulk palladium electrolysis, Szpak’s group instead opted to explore the phenomenon using palladium-deuterium co-deposition. From 1991 to 2017, Szpak and his colleagues reported observations of excess heat, tritium, emission of soft x-rays and gamma rays, and charged particle and neutron emissions. In addition, they reported on thermal imaging of their cathode surfaces that showed clear patterns of chaotic hot spots – sometimes joining up to produce oscillating islands.



position of the IR camera; b (front view) – placement of the negative
electrode (Ni screen): A – infrared camera, B – Ni screen, C Mylar film. Source
NASA
In 1989, Gustave Fralick, a physicist at NASA Lewis Research Center, and two colleagues replicated the excess heat effect observed by Fleischmann and Pons by gas cycling deuterium through a palladium-silver alloy. Whilst de-loading their experimental cell, the group observed an anomalous rise in temperature when using deuterium, but not hydrogen. In 2009, IPP sponsored a replication of the 1989 experiment and NASA researchers would again observe the excess heat effect. In 2020, Glenn Research Center published a third replication of the 1989 experiment, observing excess heat and transmutations whilst gas cycling deuterium through a palladium-silver alloy. In 2021, Glenn Research Center published a replication of SPAWAR’s co-deposition work. Their paper reported the observation of anomalous neutrons during palladium-deuterium co-deposition experiments using bubble detectors placed adjacent to experimental cells.


Los Alamos National Laboratory
In 1989, Dr. Thomas Claytor, a physicist at Los Alamos National Laboratory, and his group reported measurements of tritium and neutrons from experiments using a metal-insulator-semiconductor barrier exposed to deuterium gas. In 1992, the group expanded their work to include palladium foils, again reporting observations of tritium. In 1996, Claytor’s group reported on time resolved observations of tritium generated during the discharge of deuterium plasma on palladium cathodes. Notably, when Claytor’s group switched their discharge off, tritium generation ceased but began again when the discharge was switched back on.


Mitsubishi Heavy Industries
In 2005, Dr. Yasuhiro Iwamura and his colleagues at Mitsubishi Heavy Industries reported the transmutation of caesium into praseodymium and strontium into molybdenum when each was deposited onto a fabricated substrate and exposed to deuterium gas. This effect was not observed using hydrogen gas. Samples were monitored in situ using x-ray photoelectron spectrometry. These measurements showed a gradual decline in the deposited element, and a gradual increase in the transmutation product. Notably, in strontium experiments, the observed molybdenum had an unusual isotopic ratio inconsistent with contamination from the environment.
These experiments were repeated at SPring-8, a large x-ray synchrotron facility in Hyōgo Prefecture, Japan. In these experiments, in situ measurements of transmutation were made using x-ray fluorescence spectrometry.



ENEA Frascati
In 2002, a group led by physicist Dr. Antonella DeNinno, from the Italian national research agency ENEA, published a final report on CMNS research conducted using a unique electrochemical cell that incorporated electrolytic loading of the cathode with electromigration along the cathode’s length. Titled “Experimental Evidence of 4He Production in a Cold Fusion Experiment“, the work and the report were overseen by Nobel Laureate Carlo Rubbia, who was then President of ENEA. The group reported time resolved and correlated measurements of excess heat and the production of helium-4 in their experimental cell. In addition, they observed localised melting of their cathode. Their report included a post-experiment photograph of their cathode that showed clear evidence of molten spots and melting.



Bhabha Atomic Research Centre
Scientists at Bhabha Atomic Research Centre (BARC), India’s premier nuclear research facility, were some of the first to report positive results in condensed matter nuclear science experiments.
In one experimental campaign, BARC scientists loaded titanium samples with deuterium in a series of plasma focus experiments. Following this, they exposed their samples to x-ray film and observed radiation indicative of the anomalous generation of tritium. The group re-imaged one of their samples at intervals over five years and repeatedly observed the same patterns of radiation.


US Naval Research Laboratory
In 2012, a group from the United States Naval Research Laboratory and Naval Surface Warfare Center-Dahlgren reported observations of significant excess heat in palladium-rhodium cathode electrolysis experiments. In a small subset of their experimental cells (~ 6%), the group reported observations of substantial excess power of up to 40x the cell’s input power. Notably, this excess heat often occurred in bursts, with the cell returning to equilibrium – as measured by their cell calorimetry – between such bursts. These experiments used a high quality calorimeter custom manufactured by Hart R&D, Inc with a linear response from 0 to 10 W and +/- 1mW sensitivity.


Low Energy Nuclear Reactions – Open Questions and Challenges
The evidence is clear that low energy nuclear reactions are a genuine experimental anomaly, observed many times by many unrelated groups using diverse experimental systems and diagnostics. However, LENR research is bedeviled by several ongoing challenges that make progress slow.
Reproducibility
Replicability of LENR experiments tends to be poor. This is a situation not unlike the one faced by scientists studying semiconductors in the 1940s. Poor replicability makes it difficult for experiments to be precisely reproduced at a true arm’s length. In addition, replicability challenges frustrate systematic study of the phenomenon. Scientists believe that the primary reason for this lack of replicability relates to materials science. This has long been a focus of scientists in the field, and high-quality studies have been completed that suggest a forward path for research in this area.
Theory
The second challenge relates to theory. No comprehensive and experimentally verified theory of LENR exists at the present time. Despite this, many mechanisms have been identified that are hypothesized to work in concert to dramatically enhance reaction rates in the lattice. Until a unified theory is published and experimentally verified, the anomalies observed by LENR scientists will remain an enigma and theory will not be available to guide experimental optimisation and scale up.
A Path Forward
Neither challenge is insurmountable. Both difficulties have paths cleared that point the way towards future work. These challenges are not an insurmountable barricade. The problems simply require resources and attention. The field needs many teams of scientists and engineers to study the phenomenon, to achieve higher reliability and reproducibility, to propose and verify a theoretical explanation of what is occurring, to optimize the energy gain, and to ultimately scale laboratory experiments to socially useful purposes.
Excitingly, this creates a rare opportunity for ongoing exploration and discovery. This is exactly what makes LENR an exciting and intriguing field of exploration, especially for new and younger scientists who want to create a better source of clean and abundant energy for humanity.
The Future
The physicist Dr. Richard Garwin once described the possibility of LENR as a ‘multidimensional revolution.‘ Garwin’s characterisation concisely captures the possibilities of low energy nuclear reactions should they be better understood and harnessed over the longer term.
These possibilities variously include:
- Clean and inexpensive heat, steam and electrical energy
- Compact and portable engineering form factors
- Decarbonisation of heavy industrial processes
- Slowing climate change
- Alleviation of extreme poverty
- Unlocking currently uneconomical environmental and atmospheric remediation
- Unlocking currently uneconomical green chemistry
- Unlocking precision agriculture and greenhouse horticulture at scale
- Unlocking desalination and currently uneconomical irrigation at scale
- A further decoupling of economic growth from the burning of hydrocarbons
Nuclear energy is the fuel of the future. Low energy nuclear reactions are clean, safe, and have been observed experimentally for over three decades. We are excited about the future of LENR, and we hope you’ll take the time to dig deeper into the science of our field. Low energy nuclear reactions offer the promise of a viable, economic, and practical source of nuclear energy.
Learn More
References
Theory
Hagelstein, P et al., “Models for nuclear fusion in the solid state” arXiv, 2024
Cvetinović, A et al., “Electron screening in palladium” Physics Letters B, Vol. 838, 2023
SRI International
US Navy Space and Naval Warfare Systems Center
US Naval Research Laboratory
Los Alamos
NASA
Smith, P et al., “Electrolytic Co-deposition Neutron Production Evaluation” TM-20210010199, NASA Technical Reports Server, Jul. 2021 (Supplementary to the above paper).
Fralick, G et al., “Transmutations Observed from Pressure Cycling Palladium Silver Metals with Deuterium Gas” TM-20205008118, NASA Technical Reports Server, Oct. 2020 (Also published here)
Texas Tech University
Duncan, R et al., “Prospects For A New Light Nuclei, Fission Fusion Energy Cycle” ArXiv, March 2024
Mitsubishi Heavy Industries
ENEA Frascati
BARC